烟囱设计规范 GBJ51—83
主编部门:中华人民共和国冶金工业部
批准部门:中华人民共和国国家计划委员会
试行日期:1984年4月1日
关于颁发《烟囱设计规范》的通知
计标〔1983〕1500号
根据原国家建委(73)建革设字第239号通知的要求,由冶金工业部会同有关部门和单位共同编制的《烟囱设计规范》,已经有关部门会审,现批准《烟囱设计规范》GBJ51—83为国家标准,自一九八四年四月一日起试行。
本规范由冶金工业部管理,其具体解释等工作,由冶金工业部包头钢铁设计研究院负责。
中华人民共和国国家计划委员会
一九八三年十月七日
编制说明
本规范是根据原国家建委(73)建革设字239号文的通知,由冶金工业部包头钢铁设计研究院会同有关设计、施工、科研、大专院校等单位共同编制的。
在编制本规范过程中,坚持调查研究,总结实践经验,进行了必要的科学试验并广泛征求了各方面的意见,最后会同有关部门审查定稿。
本规范共分八章和九个附录。主要内容包括:砖烟囱、配筋砖烟囱、钢筋混凝土烟囱、刚性基础、板式基础和壳体基础等。在编制工作中注意了与我国现行各有关规范的协调统一。
试行本规范时,如发现需要修改和补充之处,请将意见和资料寄交包头钢铁设计研究院并抄送我部,以便修订时参考。
冶金工业部
一九八三年八月二十日
基本符号
内外力
M——荷载作用下的弯矩,简称弯矩;
Mw——风荷载作用下的弯矩,简称风弯矩;
Mf——附加弯矩;
Md——地震弯矩;
Mdf——地震附加弯矩;
N——荷载作用下的纵向力,简称纵向力;
G——基础自重和基础上的土重;
T——切力;
Qc——基础局部冲切荷载;
Nφ、NφΜ——分别为壳体的单位弧长薄膜径向力和径向力;
Nθ、NθΜ——分别为壳体的单位长度薄膜环向力和环向力;
Nφ、Qφ——分别为壳体单位弧长的径向弯矩和切力;
Mφa、Mφb——分别为壳体小径边缘和大径边缘的单位弧长径向弯矩;
Ha、Hb——分别为壳体小径边缘和大径边缘的单位长度水平推力;
Mθ——壳体环梁的环向弯矩。
温度
Ty——烟气温度;
Tк——空气温度;
TN——计算点的受热温度;
Rz——内衬、隔热层和筒壁的总热阻;
Ro、Rw——分别为内衬内表面和筒壁外表面的热阻;
λ——导热系数;
α1——内衬内表面吸热系数;
αu——筒壁外表面放热系数;
Δt——温度差;
th——混凝土筒壁内表面受热温度;
tg——钢筋受热温度。
应力
σh、σht——分别为荷载作用和荷载与温度共同作用下的混凝土压应力;
σg、σk——分别为钢筋和环箍拉应力;
σgt、σ′gt——分别为钢筋在温度作用下的受拉和受压应力;
σzt——砖砌体在温度作用下的压应力;
p——基础底面平均压力;
Pmax、Pmin——分别为基础底面边缘的最大和最小压力;
PN——基础底面在轴心荷载作用下的压力;
PM——基础底面在弯矩作用下的压力。
材料计算指标
Ra——混凝土的轴心抗压设计强度;
Ru——混凝土的弯曲抗压设计强度;
Rl——混凝土的抗拉设计强度;
Rf——混凝土的抗裂设计强度;
Rat、Rwt——分别为混凝土在温度作用下的轴心抗压和弯曲抗压设计强度;
Rlt、Rft——分别为混凝土在温度作用下的抗拉和抗裂设计强度;
Rg、R′g——分别为钢筋的抗拉和抗压设计强度;
Rgt、R′gt——分别为钢筋在温度作用下的抗拉和抗压设计强度;
Eh、Eg——分别为混凝土和钢筋的弹性模量;
Eht、Ekt——分别为混凝土和环箍在温度作用下的弹性模量;
Eh——环箍的折算弹性模量;
E——砖砌体的弹性模量;
Et——砖砌体在温度作用下的弹性模量。
几何特征
A、Ao——分别为截面面积和换算截面面积;
Ag——计算截面纵向钢筋的总面积或每米高度内环向钢筋的截面面积;
Ak——环箍截面面积;
F——基础底面面积;
δ、δo——分别为筒壁(或壳体)厚度和有效厚度;
rh——截面核心距;
d——钢筋直径;
a——筒壁外边缘至环向钢筋重心的距离;
δfmax——混凝土的最大裂缝宽度;
Lf——混凝土的裂缝平均间距;
S——壳体的径向长度;
e——纵向力至截面中心的距离;
eo——纵向力至截面重心的距离;
J——截面的惯性矩;
W——截面的弹性抵抗矩;
θ——筒壁开孔半角。
计算系数
K——设计安全系数;
βh——混凝土在温度作用下的弹性模量折减系数;
a、w——分别为混凝土在温度作用下的轴心抗压和弯曲抗压设计强度折减系数;
l、f——分别为混凝土在温度作用下的抗拉和抗裂设计强度折减系数;
αz——砖砌体在温度作用下的线膨胀系数;
αhz——混凝土在温度作用下的变形系数;
αg——钢筋在温度作用下的线膨胀系数;
α——砖砌体的纵向力偏心影响系数;
u——配筋率;
n——钢筋与混凝土在温度作用下的弹性模量比值;
ν——与钢筋表面形状有关的系数。
第一章 总则
第1.0.1条 为了在烟囱设计中,做到技术先进,经济合理,安全适用,确保质量,特制定本规范。
第1.0.2条 本规范适用于砖烟囱和高度不大于210米的钢筋混凝土烟囱的设计。
第1.0.3条 设计下列烟囱时,尚应符合现行有关规范的规定:
一、位于湿陷性黄土、膨胀土等地区或地下采掘区的烟囱;
二、烟气中二氧化硫的含量超过1%(体积比)和二氧化硫含量虽未超过1%,但烟气温度低于100℃或烟气相对湿度超过60%的烟囱;
三、烟气中含有其它侵蚀性气体的烟囱。
第二章 材料
第一节 砖石
第2.1.1条 砖烟囱筒壁和配筋砖烟囱筒壁的材料应按下列规定采用:
一、筒壁宜采用标准型或异型的一等普通粘土砖,其标号不应低于75号;如有抗冻要求时,砖的抗冻性指标应符合有关规定;
二、砖筒壁宜采用25号混合砂浆,在其顶部5米范围内,宜将砂浆标号提高到50号;
三、配筋砖筒壁,应采用不低于50号的水泥石灰混合砂浆。
第2.1.2条 烟囱的内衬材料应按下列规定采用:
一、烟气温度低于400℃时,可采用75号普通粘土砖和25号混合砂浆;
二、烟气温度为400~500℃时,可采用75号普通粘土砖和耐热砂浆;
三、烟气温度高于500℃时,可采用粘土质耐火砖、耐火混凝土预制块和粘土火泥泥浆。
第2.0.3条 毛石基础的材料应根据基土的潮湿程度按下列规定采用:
一、基土稍湿时,采用不低于200号的石材和不低于25号的混合砂浆;
二、基土很湿时,采用不低于200号的石材和不低于50号的混合砂浆;
三、基土含水饱和时,采用不低于300号的石材和不低于50号的水泥砂浆。
第2.1.4条 砖砌体在温度作用下的抗压强度和弹性模量,可不考虑温度折减,仍应按《砖石结构设计规范》(GBJ3—73)的规定采用。
第2.1.5条 砖砌体在温度作用下的线膨胀系数αz应按下列规定采用:
当砌体受热温度t为20~200℃时,αz可采用5×

;
当砌体受热温度t为201~400℃时,αz 可按下式确定:

第二节 混凝土
第2.2.1条 钢筋混凝土烟囱筒壁的混凝土应按下列规定采用:
一、混凝土宜采用硅酸盐水泥、普通硅酸盐水泥或矿渣硅酸盐水泥配制,混凝土标号不宜低于200号;
二、混凝土的水灰比不宜大于0.5每立方米混凝土水泥用量不应超过450公斤;
三、混凝土的骨料应坚硬致密,粗骨料宜采用玄武岩、闪长岩、花岗岩、石灰岩等破碎的碎石或河卵石,细骨料宜采用天然砂,也可采用上述岩石经破碎筛分后的产品,但不得含有金属矿物、云母、硫酸化合物和硫化物;
四、粗骨料粒径不应超过筒壁厚度的1/5和钢筋间距的3/4,同时最大粒径不应超过60毫米;
五、沿筒壁高度宜采用相同标号的混凝土。
注:①当烟囱较高时亦可采用不同标号的混凝土。
②筒壁顶部第一节和有烟气直接作用的部位,不宜采用石灰石作骨料。
第2.2.2条 基础的混凝土标号应按下列规定采用:
一、刚性基础,不应低于100号;
二、板式基础,不应低于150号;
三、壳体基础,不宜低于300号。
第2.2.3条 筒壁混凝土在温度作用下的设计强度应按下列公式计算:
Rat=0.7aRa (2.2.3-1)
Rlt=lRl (2.2.3-2)
Rft=fRf(2.2.3-3)
式中Rat、Rlt、Rft——分别为混凝土在温度作用下的轴心抗压、抗拉和抗裂设计强度;
a、l、f——分别为混凝土在温度作用下的轴心抗压、抗拉和抗裂设计强度的折减系数;
Ra、Rl、Rf——分别为混凝土的轴心抗压、抗拉和抗裂设计强度,应按《钢筋混凝土结构设计规范》(TJ10—74)采用。
第2.2.4条 基础混凝土在温度作用下的设计强度应按下列规定采用:
一、当为地上烟道时,可不考虑温度折减,仍应按《钢筋混凝土结构设计规范》(TJ10—74)采用;
二、当为地下烟道时,应按下列公式计算:
Rat=aRa (2.2.4-1)
Rwt=wRw (2.2.4-2)
Rlt=RI I (2.2.4-3)
式中Rwt——混凝土在温度作用下的弯曲抗压设计强度;
w——混凝土在温度作用下的弯曲抗压设计强度的折减系数;
Rw——混凝土弯曲抗压设计强度,应按《钢筋混凝土结构设计规范》(TJ10—74)采用。
第2.2.5条 混凝土在温度作用下的设计强度折减系数,可按表2.2.5采用。
第2.2.6条 混凝土在温度作用下的抗压或抗拉弹性模量应按下式计算:
Eht=βhEh (2.2.6)
式中βh——混凝土在温度作用下的弹性模量折减系数;
Eh——混凝土弹性模量,应按《钢筋混凝土结构设计规范》(TJ10—74)采用。
混凝土在温度作用下的设计强度折减系数 表2.2.5
|
系数 |
受热温度(℃) |
受热温度的取值规定 |
|
20 |
60 |
100 |
150 |
200 |
|
ya |
1 |
0.90 |
0.85 |
0.80 |
0.70 |
取筒壁及壳体基础单体构件的平均温度 |
|
yw |
1 |
0.90 |
0.85 |
0.80 |
0.70 |
取基础表面最高温度 |
|
yl |
1 |
0.85 |
0.75 |
0.65 |
0.55 |
取壳体基础单体构件的平均温度 |
|
yf |
1 |
0.85 |
0.75 |
0.65 |
0.55 |
取筒壁平均温度 |
第2.2.7条 混凝土在温度作用下的弹性模量折减系数,可按表2.2.7采用。
混凝土在温度作用下的弹性模量折减系数 表2.2.7
|
系数 |
受热温度(℃) |
受热温度的取值规定 |
|
20 |
60 |
100 |
150 |
200 |
|
βh |
1 |
0.85 |
0.75 |
0.65 |
0.55 |
强度计算时,取筒壁及壳体基础单体构件的平均温度;使用阶段的应力计算和裂缝宽度验算时,取筒壁内表面温度 |
第2.2.8条 混凝土在温度作用下的变形系数αhz可采用1.0× 。
第三节 钢筋和钢材
第2.3.1条 钢筋混凝土筒壁的配筋宜采用Ⅱ级钢筋;配筋砖筒壁宜采用Ⅰ级钢筋,但纵向钢筋由计算决定时,宜采用Ⅱ级钢筋。
第2.3.2条 基础的配筋宜采用Ⅱ级钢筋。
注:也可采用5号钢钢筋。
第2.3.3条 平台、爬梯、螺栓和砖烟囱的环箍等宜采用3号钢。
第2.3.4条 钢筋混凝土筒壁和配筋砖筒壁的钢筋,在温度作用下的抗拉和抗压设计强度应按下列公式计算:
Rgt=0.85gRg (2.3.4-1)
R′gt=0.85gR′g (2.3.4-2)
式中Rg、R′gt——分别为钢筋在温度作用下的抗拉和抗压设计强度;
g——钢筋在温度作用下的设计强度折减系数;
Rg、R′g——分别为钢筋抗拉和抗压设计强度,应按《钢筋混凝土结构设计规范》(TJ10—74)采用。
第2.3.5条 基础的钢筋在温度作用下的抗拉和抗压设计强度应按下列规定采用:
一、当为地上烟道时,可不考虑温度折减,仍应按《钢筋混凝土结构设计规范》(TJ10—74)采用;
二、当为地下烟道时,应按下列公式计算:
Rgt=gRg (2.3.5-1)
R′gt=gR′g (2.3.5-2)
第2.3.6条 钢筋在温度作用下的设计强度折减系数,可按表2.3.6采用。
钢筋在温度作用下的设计强度折减系数 表2.3.6
|
系数 |
受热温度(℃) |
受热温度的取值规定 |
|
20 |
60 |
100 |
150 |
200 |
|
g |
1 |
1 |
1 |
0.90 |
0.85 |
钢筋温度 |
第2.3.7条 砖烟囱筒壁的环箍,当采用3号钢时,其抗拉设计强度Rkt可采用1680公斤/c㎡。
第2.3.8条 钢筋和钢材在温度作用下的弹性模量,可不考虑温度折减,仍应按《钢筋混凝土结构设计规范》(TJ10—74)和《钢结构设计规范》(TJ17—74)采用。
第2.3.9条 钢筋线膨胀系数αg可采用1.2× 。
第四节 材料热工计算指标
第2.4.1条 隔热材料应采用无机材料,其干燥状态下的容重不宜大于800公斤/ 。
第2.4.2条 材料热工计算指标,应按实际试验资料确定,当无试验资料时,对于几种常用的材料可按表2.4.2采用。
材料热工计算指标 表2.4.2
|
材料种类 |
最高使用温度(℃) |
干容量(公斤/米) |
导热系数λ(千卡/米,小时,度) |
|
普通粘土砖砌体 |
500 |
1700 |
0.42+0.0005t |
|
粘土质耐火砖砌体 |
1400 |
1900 |
0.6+0.0005t |
|
硅藻土砖砌体 |
900 |
500 600 700 |
0.1+0.0002t 0.12+0.0002t 0.15+0.0002t |
|
普通钢筋混凝土 |
200 |
2400 |
1.3+0.0004t |
|
普通混凝土 |
200 |
2300 |
1.1+0.0004t |
|
硅酸盐水泥耐火混凝土 |
1200 |
1900 |
0.7+0.0005t |
|
硅酸盐水泥轻质混凝土(骨料为页岩陶粒) |
400 |
1400 1200 1000 |
0.45+0.0001t 0.35+0.0001t 0.25+0.0001t |
|
膨胀珍珠岩(松散体) |
750 |
100 |
0.038+0.00007t |
|
水泥膨胀珍珠岩制品 |
600 |
350 |
0.06+0.0001t |
|
高 炉 水 渣 |
300 |
500 |
0.08+0.0002t |
|
矿 渣 棉 |
600 |
200 |
0.04+0.00016t |
|
垂直封闭空气层(厚度为50毫米) |
|
|
0.2+0.00451t |
注:t为平均受热温度。
第三章 设计和计算基本规定
第一节 一般规定
第3.1.1条 设计烟囱时,应根据使用条件、烟囱高度、地质条件、地震烈度、材料供应和施工条件等因素,以确定采用砖筒壁或钢筋混凝土筒壁。
对于重要的、较高的或设计地震烈度为9度的、以及设计地震烈度为8度但位于Ⅲ类场地土上的烟囱,宜采用钢筋混凝土筒壁。
第3.1.2条 非地震区砖烟囱的筒壁可配置环向钢箍或环向钢筋,地震区砖烟囱的筒壁应配置环向钢筋和纵向钢筋。
第3.1.3条 烟囱内衬的设置应符合下列规定:
一、砖烟囱
当烟气温度大于400℃时,内衬应沿全高设置;
当烟气温度小于或等于400℃时,内衬可在烟囱下部局部设置,并应符合构造要求;
二、钢筋混凝土烟囱内衬应沿全高设置。
第3.1.4条 钢筋混凝土烟囱的隔热层材料,应按下列规定采用:
当烟气温度大于150℃时,宜采用无机填充材料;
当烟气温度小于或等于150℃时,可采用空气隔热层。
第3.1.5条 烟囱基础一般可采用板式基础,当条件允许时可采用壳体基础。对于高度不大,且为地上烟道的砖烟囱,亦可采用毛石或毛石凝土刚性基础。
注:当地基条件允许时,板式基础宜采用环形的。
第3.1.6条 计算风荷载时,对《工业与民用建筑结构荷载规范》(TJ9—74)中的调整系数,应按下列规定采用:
烟囱高度小于或等于100米时,取1.0;
烟囱高度大于100米,但不超过200米时,取1.1;
烟囱高度大于200米时,取1.2。
第3.1.7条 烟囱的基本自振周期可按《工业与民用建筑结构荷载规范》(TJ9—74)和《工业与民用建筑抗震设计规范》(TJ11—78)的规定计算。
第3.1.8条 筒壁的计算截面应按下列规定采用:
水平截面,应取筒壁各节的底截面;
垂直截面,可取筒壁各节底部单位高度的截面。
第二节 受热温度允许值
第3.2.1条 烟囱筒壁和基础的受热温度,应符合下列规定:
一、普通粘土砖砌体的筒壁,最高受热温度不应超过400℃;
二、普通钢筋混凝土的筒壁和基础,以及普通混凝土的基础,最高受热温度不宜超过150℃。
第三节 安全系数
第3.3.1条 筒壁的设计安全系数K,应按表3.3.1的规定采用。
第3.3.2条 钢筋混凝土板式基础的设计安全系数K,应按《钢筋混凝土结构设计规范》(TJ10—74)中的规定采用;钢筋混凝土壳体基础的设计安全系数K,应按《钢筋混凝土结构设计规范》(TJ10—74)的规定提高10%后采用。
第四节 裂缝宽度允许值
第3.4.1条 钢筋混凝土筒壁顶部20米范围内,最大裂缝宽度不应超过0.15毫米,其余部位的最大裂缝宽度不应超过0.3毫米。
设计安全系数 表3.3.1
|
项次 |
筒壁类型 |
安全系数 |
|
1 |
砖筒壁 |
筒壁砖砌体 2.3 环 箍 1.6 环向钢筋 1.4 纵向钢筋 2.1 |
|
2 |
钢筋混凝土筒壁 |
强度计算 使用阶段计算 1.7 混凝土(kh) 1.7 钢筋(kg) 1.7 |
注:1.考虑地震力时,安全系数应乘以系数0.8。
2.钢筋混凝土筒壁强度计算时,当烟囱高度大于200米且基本风压小于或等于50公斤/㎡时,对表中安全系数应再乘以系数1.1。
第五节 地基允许变形值
第3.5.1条 地基允许变形值,应按表3.5.1-1和表3.5.1-2的规定采用。
基础沉降允许值 表3.5.1-1
|
地基土类型 |
基础沉降允许值(厘米) |
|
中压缩性粘性土 高压缩性粘性土 |
20 40 |
基础倾斜允许值 表3.5.1-2
|
烟囱高度H(米) |
基础倾斜允许值〔mθ〕 |
|
H=20 20<H≤50 50<H≤100 100<H≤150 150<H≤200 H>200 |
0.008 0.006 0.005 0.004 0.003 0.002 |
注:1.HH为地面至烟囱顶端的高度。
2.基础倾斜值系指基础倾斜方向两端的沉降差与其距离的比值。
第四章 温度计算
第一节 一般规定
第4.1.1条 烟囱内部的烟气温度,应按烟囱在使用时的最高温度采用。
第4.1.2条 烟囱外部的空气温度,应按下列规定采用:
一、计算烟囱最高受热温度和确定材料在温度作用下的折减系数时,应采用夏季极端最高温度;
二、计算筒壁温度差时,应采用冬季极端最低温度。
第二节 筒身受热温度计算
第4.2.1条 内衬、隔热层和筒壁计算处的受热温度,可按下式计算(图4.2.1):
图4.2.1 筒身传热简图
1—内衬;2—隔热层;3—筒壁
式中tn——计算处的受热温度;
Ty——烟气温度;
YK——空气温度;
Rz——内衬、隔热层和筒壁等总热阻;
Ri——第i层的热阻。
第4.2.2条 内衬、隔热层和筒壁的总热阻Rz可按下式计算:
Rz=Ro+R1+R2+……+Rb+Rw (4.2.2)


式中Ro、Rw——分别为内衬内表面和筒壁外表面的热阻;
α1——内衬内表面的吸热系数;
αw——筒壁外表面的放热系数;
δ1、δ2……δb——分别为内衬、隔热层和筒壁等各层的厚度(米);
λ1、λ2……λb——分别为内衬、隔热层和筒壁等各层的导热系数。
第4.2.3条 内衬内表面的吸热系数和筒壁外表面的放热系数,可分别按表4.2.3-1和表4.2.3-2的规定采用。
内衬内表面的吸热系数 表4.2.3-1
|
烟气温度(℃) |
吸热系数α1(千米/㎡·小时·度) |
|
50~100 101~300 >300 |
28 33 50 |
筒壁外表面放热系数 表4.2.3-2
|
季节 |
吸热系数α1(千米/㎡·小时·度) |
|
夏季 冬季 |
10 20 |
第4.2.4条 计算有内衬砖烟囱筒壁的温度差Δt时,应乘以修正系数C,C值应按表4.2.4采用。
修正系数C值 表4.2.4
|
r2/r1 |
1.60 |
1.50 |
1.40 |
1.30 |
1.20 |
1.10 |
<1.10 |
|
C |
0.86 |
0.88 |
0.90 |
0.92 |
0.95 |
0.97 |
1.00 |
注:r1、r2分别为筒壁内、外半径。
第五章 砖烟囱筒壁计算
第一节 一般规定
第5.1.1条 砖烟囱筒壁设计,应按下列规定进行计算和验算:
一、受热温度计算
按第4.2.1条计算内衬、隔热层、筒壁各层的受热温度,计算出的内衬和隔热层的受热温度,不应超过表2.4.2的规定,筒壁受热温度不应超过第3.2.1条的规定;
二、强度计算和抗裂度验算
在自重和风荷载作用下,按第5.2.1条和第5.2.3条进行水平截面的强度计算和抗裂度验算;
对地震区的烟囱,尚应根据自重、风荷载和地震力的荷载组合,按第5.5.1条计算纵向钢筋的截面面积;
三、环箍或环向钢筋计算
1.在温度作用下,当筒壁内外表面温度差Δt符合以下条件时,应配置环箍或环向钢筋;

2.当配置环箍时,应按第5.3.1条计算环箍面积或按第5.3.3条验算环箍应力,并应符合以下条件:

3.当配置环向钢筋时,应按第5.4.1条计算环向钢筋截面面积或按第5.4.3条验算环向钢筋应力,并应符合以下条件:

式中r1、r2——分别为筒壁内外半径;
Rkt——环箍在温度作用下的计算强度;
Rgt——环向钢筋在温度作用下的计算强度;
K——环箍或环向钢筋的设计安全系数;
Kσkt——环箍的应力;
σgt——环向钢筋的应力。
第二节 水平截面的强度计算和抗裂度验算
第5.2.1条 筒壁在自重和风荷载作用下的水平截面强度,应按下式计算:
KN≤φαAR (5.2.1)
式中K——筒壁砖砌体的设计安全系数;
N——计算截面纵向力;
φ——受压构件的纵向弯曲系数,可按《砖石结构设计规范》(GBJ3—73)近似采用,查φ值时,可取构件的长细比

h——计算截面至筒壁顶端的高度;
r——计算截面回转半径;
A——计算截面面积;
α——纵向力的偏心影响系数;
R——砖砌体的抗压强度,应按《砖石结构设计规范》(GBJ3—73)采用。
第5.2.2条 纵向力偏心影响系数α应按下式计算:

式中eo——纵向力作用点至截面重心的偏心距;
r——计算截面的回转半径。
第5.2.3条 筒壁的水平截面抗裂度,应符合以下条件:
ro≤rh (5.2.3)
式中rh——计算截面的核心距

,
W——计算截面的最小弹性抵抗距。
第三节 环箍计算
第5.3.1条 筒壁每米高所需的环箍截面面积可按下列公式计算(图5.3.1):
在温度差作用下,筒壁外表面环向相对自由伸长值it,应按下式计算:
式中Ak——每米高度内的环箍截面面积(c㎡);
mβ——与受压区图形面积等有关的系数;
δ——计算截面的筒壁厚度(厘米);
R′t——砖砌体在温度作用下的弹塑性模量,当筒壁内
表面温度t≤200℃时,应取R′t=Et/3;当t≥350℃时,应取R′t=Et/5;中间值以线性插入法求得;
Et——砖砌体在温度作用下的弹性模量;
w——受压区应力图形不完整系数,可取w=0.57;
αz——砖砌体线膨胀系数;
Ek——考虑接头松弛后环箍的折算弹性模量。
注:由公式(6.3.1-2)计算的mβ≤0时,应按第8.1.5条的规定设置构造环箍。
(a) (b)
图5.3.1 环箍面积计算简图
a—平均应变图;b—裂缝截面的应力图
第5.3.2条 考虑接头松弛后环箍的折算弹性模量Eh,可按下式计算:
式中Eg——钢材弹性模量;
n——一圈环箍的接头数量。
第5.3.3条 当已知环箍截面面积时,可按下列公式验算环箍应力(图5.3.3):
式中ξ——筒壁相对受压区高度系数;
α′——截面特征系数;
μ——每米高度内环箍截面面积与筒壁垂直截面面积的比值,
n′t——环箍折算弹性模量与砖砌体在温度作用下的弹塑性模量的比值,n′t=Ek/E′t。

(a) (b)
图5.3.3 环箍应力计算简图
a—平均应变图;b—裂缝截面应力图
第四节 环向钢筋计算
第5.4.1条 筒壁每米高所需的环向钢筋截面面积应按下列公式计算(图5.4.1):

在温度差作用下,钢筋重心处的环向相对自由伸长值it1,应按下式计算:

式中Ag——每米高度内的环向钢筋截面面积(c㎡);
mβ——与受压区图形面积等有关的系数;
m——与钢筋根数有关的系数,可按下列规定采用:
单根环筋时,m=0.95;
双根环筋时,m=1.0;
δ0——计算截面的筒壁有效厚度(厘米),δ0=δ-α;
α——筒壁外边缘至钢筋重心处的距离,可按下列规雳采用:
单根筋时,α=3.0厘米;
双根筋时,α=4.5厘米;
ω——受压区应力图形不完整系数,可取ω=0.57;
ψgt——裂缝间环向钢筋应变不均匀系数;
Eg——钢筋的弹性模量。
注:由公式(5.4.1-2)计算的mβ≤0时,应按第8.1.7条的规定设置构造环向钢筋。

(a) (b)
图5.4.1 环向钢筋面积计算简图
a—平均应变图;b—裂缝截面应力图
第5.4.2条 裂缝间环向钢筋应变不均匀系数,应按下列规定采用:
当筒壁内表面温度t≤200℃时,可取ψgt=0.6;
当筒壁内表面温度t≥350℃时,可取ψgt=1.0;
中间值以线性插入法求得。
第5.4.3条 当已知环向钢筋截面面积时,可按下列公式验算钢筋应力(图5.4.3):

式中ξ——筒壁相对受压区高度系数;
α′——截面特征系数;
μo——每米高度内环筋截面面积与筒壁垂直截面有效面积的比值,

n′t——钢筋弹性模量与砖砌体在温度作用下的弹塑性模量的比值,

(a) (b)
图5.4.3 环向钢筋应力计算简图
α—平均应变图;b—裂缝截面应力图
第五节 纵向钢筋计算
第5.5.1条 地震区砖烟囱的纵向钢筋,可按下列规定确定:
一、当考虑地震力时的偏心距eod≤1.2rh时,可按第8.1.9条的规定,配置构造钢筋。eod应按下式计算:

二、当eod>1.2rh时,筒壁纵向钢筋截面的总面积Ag,可按下列公式计算(图5.5.1):
M=Md+0.25Mw (5.5.1-3)
式中M——在地震力和25%风荷载作用下计算截面的弯矩;
Md——在地震力作用下计算截面的弯矩;
Mw——在风荷载作用下计算截面的弯矩;
N——计算截面的纵向力;
β1——弯矩影响系数;
rp——筒壁平均半径。
图5.5.1 纵向钢筋计算简图
第5.5.2条 弯矩影响系数β1,应根据参数αc,由图5.5.2查得。αc可按下式计算:
式中rg——纵向钢筋所在圆的半径;
φ——受压构件的纵向弯曲系数,可按第5.2.1条的规定采用;
R——砖砌体的抗压设计强度,应按《砖石结构设计规范》(GBJ3—73)采用;
A——筒壁水平计算截面面积。
图5.5.2 弯矩影响系数β1
第五节 纵向钢筋计算
第5.5.1条 地震区砖烟囱的纵向钢筋,可按下列规定确定:
一、当考虑地震力时的偏心距eod≤1.2rh时,可按第8.1.9条的规定,配置构造钢筋。eod应按下式计算:

二、当eod>1.2rh时,筒壁纵向钢筋截面的总面积Ag,可按下列公式计算(图5.5.1):
M=Md+0.25Mw (5.5.1-3)
式中M——在地震力和25%风荷载作用下计算截面的弯矩;
Md——在地震力作用下计算截面的弯矩;
Mw——在风荷载作用下计算截面的弯矩;
N——计算截面的纵向力;
β1——弯矩影响系数;
rp——筒壁平均半径。

图5.5.1 纵向钢筋计算简图
第5.5.2条 弯矩影响系数β1,应根据参数αc,由图5.5.2查得。αc可按下式计算:
式中rg——纵向钢筋所在圆的半径;
φ——受压构件的纵向弯曲系数,可按第5.2.1条的规定采用;
R——砖砌体的抗压设计强度,应按《砖石结构设计规范》(GBJ3—73)采用;
A——筒壁水平计算截面面积。

图5.5.2 弯矩影响系数β1
第六章 钢筋混凝土烟囱筒壁计算
第一节 一般规定
第6.1.1条 钢筋混凝土筒壁设计,应进行下列几种计算和验算:
一、受热温度计算
按第4.2.1条进行内衬、隔热层、筒壁各层的受热温度计算,计算出的筒壁受热温度,不应超过第3.2.1条的规定,内衬、隔热层的受热温度,不应超过表2.4.2的规定。
二、强度计算
在自重、风荷载和附加弯矩作用下,按第6.3.2条计算水平截面强度。
对地震区的烟囱,尚应按第6.3.2条验算其在自重、25%风荷载、地震力和地震附加弯矩的荷载组合作用下的水平截面强度。
三、使用阶段应力计算
1.水平截面的应力计算
在自重、风荷载、附加弯矩和温度作用下,按第6.4.1条至第6.4.8条计算水平截面的应力;此时,筒壁背风侧的混凝土压应力σh和筒壁迎风侧的钢筋拉应力σg,应符合下列条件:

2.垂直截面的应力计算
在温度作用下按第6.4.9条计算垂直截面的应力,此时,垂直截面裂缝处的环向钢筋拉应力,应符合以下条件:
四、使用阶段裂缝宽度验算
1.水平裂缝宽度验算
在自重、风荷载、附加弯矩和温度作用下,按第6.5.1条验算水平裂缝宽度,最大裂缝宽度σfmax应符合第3.4.1条的规定;
2.垂直裂缝宽度验算
在温度作用下,按第6.5.2条验算垂直裂缝宽度,最大裂缝宽度σfmax应符合第3.4.1条的规定。
式中Kh——混凝土的设计安全系数;
Kg——钢筋的设计安全系数;
Rat——混凝土在温度作用下的轴心抗压设计强度;
Rgt——钢筋在温度作用下的抗拉设计强度。
第二节 附加弯矩计算
第6.2.1条 在强度计算和使用阶段应力计算时,由于风荷载、日照和基础倾斜的作用,筒身自重对任意截面(包括按第6.2.5条确定的代表截面)所产生的附加弯矩(图6.2.1)可按下式计算:
式中P——由筒身顶端算起h/3处的一米高筒身的折算自重;
h——计算截面至筒身顶端高度;
H——筒身总高度;
1ρw——筒身代表截面处的变形曲率;
αhz——混凝土在温度作用下的变形系数;
Δt——由日照产生的筒身阳面与阴面的温度差,应按实测数据采用,当无实测数据时,可按20℃采用;
r——由筒身顶端算起0.6H处的筒壁平均半径,
r1、r2——分别为筒壁内、外半径;
mθ——基础倾斜值,可按基础倾斜的允许值采用。
注:考虑地震时的附加弯矩Mdf,可按附录一计算。
图6.2.1 附加弯矩计算简图
第6.2.2条 折算自重P值,可按下式计算:
式中h1——筒身顶部第一节的高度;
N——筒身(筒壁、隔热层和内衬等)全部自重;
N1——筒身顶部第一节的全部自重。
第6.2.3条 筒身代表截面处纵向力对筒壁截面中心的相对折算偏心距e/r,应按下列公式计算:
一、强度计算时
二、使用阶段应力计算时
式中N——筒身代表截面处的纵向力;
Mw——筒身代表截面处的风弯矩;
Mf——筒身代表截面处的附加弯矩;
r——筒身代表截面处的筒壁平均半径。
第6.2.4条 由风荷载和附加弯矩所产生的筒身代表截面处的变形曲率

,可按下列公式计算:
一、强度计算
1.当

≤0.5时

2.当

>0.5时

二、使用阶段应力计算
1.当

≤0.5时

2.当

>0.5时

[式中J——筒身代表截面处的筒壁截面惯性矩;
Eh、Eg——分别为筒身代表截面处的筒壁混凝土在温度作用下的弹性模量和钢筋弹性模量;
σhw、σgw——分别为筒身代表截面处的筒壁混凝土和钢筋的应力,应分别按公(6.4.2-1)和(6.4.2-2)计算。
注:1.计算 时,可先假定Mf值(强度计算时取0.35Mw,使用阶段应力计算时取0.2Mw),然后进行循环迭代,使前后两次的 值相差不超过5%。
2.在强度计算和 ≤0.5时使用阶段的应力计算中,筒身代表截面处的附加弯矩亦可按附录二的公式不经循环迭代求出。
第6.2.5条 筒身代表截面可按下列规定确定:
一、当筒身各段坡度均不大于3%时
1.不设烟道孔的筒身,取筒身最下节筒壁的底截面;
2.设有烟道孔的筒身,取洞口上一节筒壁的底截面。
二、当筒身下部有大于3%的坡度时
1.在坡度不大于3%的区段内不设烟道孔的筒身,取该区段筒壁的底截面;
2.在坡度不大于3%的区段内设有烟道孔的筒身,取洞口上一节筒壁的底截面。
第三节 强度计算
第6.3.1条 钢筋混凝土筒壁在荷载作用下的水平截面强度,应根据纵向力N对环形截面中心的折算偏心距e与界限偏心距ei之间的关系,以及压强比

的大小,分为两种破坏情况,按第6.3.2条的规定计算。
一、折算偏心距e应按下列公式计算:
1.在自重、风荷载和附加弯矩作用下

2.在自重、25%风荷载、地震力和考虑地震附加弯矩作用下
二、截面的界限偏心距ei可按下列公式计算:
1.筒壁上无孔洞时
ei=0.65r (6.3.1-3)
2.筒壁受压区有一个孔洞时
式中N——相应荷载下计算截面的纵向力;
Md——计算截面的地震弯矩;
Mdf——计算截面的地震附加弯矩;
θ——计算截面受压区孔洞半角;
r——计算截面筒壁平均半径。
第6.3.2条 钢筋混凝土筒壁的水平截面强度,可按下列公式计算:
一、当e>ei、且

≤0.5时,属于第一种破坏情况
1.筒壁上无孔洞(图6.3.2-1α)
2.筒壁受压区有一个孔洞(图6.3.2-1b)
二、当e>ei、但 >0.5,或e≤ei时,属于第二种破坏情况
图6.3.2-1 e>ei、且

≤0.5时水平截面的强度计算简图
a—筒壁无孔洞;b—筒壁受压区有一个孔洞
式中K——强度设计安全系数;
A——筒壁水平计算截面面积;
Ag——筒壁水平计算截面的纵向钢筋总面积;
α——受压区半角系数,
ζh、ζg——偏心距及受压区孔洞影响系数,应由图6.3.2-2查得。

e/ej

e/ej
图6.3.2-2偏心距及受压区孔洞影响系数
注:当e>ei、且

≤0.5时,纵向钢筋总面积Ag亦可按附录四中的附图求得,此时
第四节 使用阶段应力计算
(Ⅰ)荷载作用时的水平截面应力
第6.4.1条 钢筋混凝土筒壁的水平截面在自重、风荷载和附加弯矩作用下的应力计算,应根据纵向力N的折算偏心距e与截面核心距e的大小(e>rh或e≤rh),分别采用相应的计算简图(图6.4.1)。
图6.4.1 在荷载作用下的应力计算简图
a—截面外形;b—e>rh时;c—e≤eh时
一、纵向力N对环形截面中心的折算偏心距e应按下式计算:
二、计算截面的核心距rh,可按下列公式计算:
1.当筒壁上无孔洞时 rh=0.5r (6.4.1-2)
2.当筒壁受压区有一个孔洞时
第6.4.2条 当e>rh时,钢筋混凝土筒壁水平截面的截面应力,应被下列公式计算:
一、背风侧混凝土的压应力
1.筒壁上无孔洞时

2.筒壁受压区有一个孔洞时

二、迎风侧纵向钢筋的拉应力
1.筒壁上无孔洞时
公式(6.4.2-2)、(6.4.2-4)、(6.4.2-6)和(6.4.2-8)中的计算截面受压区半角Φ值,应按下列公式(或根据

和ω查附录五)确定。
筒壁上无孔洞时
筒壁受压区有一个孔洞时
式中Ao——计算截面的换算截面积,按公式(6.4.4-1)计算;
ω——计算截面的特征系数,按公式(6.4.4-2)计算;
n——在温度作用下计算截面的钢筋与混凝土弹性模量的 比值,按公式(6.4.4-3)计算;
Cb1、Cb2——背风侧筒壁混凝土应力系数,可根据er和ω查附录五Cb值;
Cy1、Cy2——迎风侧筒壁钢筋应力系数,可根据er和ω查附录五Cy值。
第6.4.3条 当e≤rh时,钢筋混凝土筒壁水平截面的截面应力,应按下列公式计算:
一、背风侧混凝土的压应力
1.筒壁上无孔洞时

2.筒壁受压区有一个孔洞时

二、迎风侧混凝土的压应力
1.筒壁上无孔洞时
2.筒壁受压区有一个孔洞时
式中Cb3、Cb4——背风侧筒壁混凝土应力系数,可按附录五Cb值采用;
Cy3、Cy4——迎风侧筒壁混凝土应力系数,可按附录五Cy值采用。
第6.4.4条 钢筋混凝土筒壁水平截面的换算截面面积和截面特征系数,可按下列公式计算:
Ao=2rδ(π-θ)(1+ω) (6.4.4-1)
ω=2.5μnt (6.4.4-2)
nt=Eg/Rgt (6.4.4-3)
μ=Ag/2δ(π-θ)r (6.4.4-4)
式中μ——纵向钢筋的配筋率;
Ag——计算截面纵向钢筋的总面积(不包括洞口补强钢筋);
δ——筒壁厚度;
Eg——钢筋的弹性模量;
Eht——混凝土在温度作用下的弹性模量。
(Ⅱ)荷载和温度共同作用时的水平截面应力
第6.4.5条 钢筋混凝土筒壁的水平截面,在荷载和温度共同作用下的截面应力,与应变参数Ρα和ΡI有关。Ρα、ΡI值应按下列规定计算:
一、压应变参数Ρα值
1.当e>rh时
2.当e≤rh时
二、拉应变参数Pl值(仅适用于e>rh)

式中αhz、αg——分别为在温度作用下混凝土的变形系数和钢筋的线膨胀系数;
th、tg——分别为筒壁混凝土内表面和钢筋的受热温度;
σhw——荷载作用下筒壁背风侧或迎风侧(当e≤rh时)的混凝土压应力;
σgw——荷载作用下筒壁迎风侧纵向钢筋的拉应力。
第6.4.6条 钢筋混凝土筒壁的水平截面,在荷载和温度共同作用下,背风侧的混凝土压应力可按下列公式计算:
一、Pa≥1时 σh=σhw (6.4.6-1)
二、Pa<1时
σh=σhw+σhtηaηa1 (6.4.6-2)

筒壁相对受压区高度系数ξw,可按下列公式计算当Pa>

时(图6.4.6.a)
当Pa≤

时(图6.4.6.b)
温度应力衰减系数ηa1,可按下列公式计算:
当Pa≤0.2时 ηa1=1-2.6Pa (6.4.6-6)
当Pa>0.2时 ηa1=0.6(1-Pa) (6.4.6-7)
式中ωα——截面特征系数,按公式(6.4.8-5)计算;
ξ——在温度单独作用下筒壁截面的相对受压区高度系数,按公式(6.4.8-4)计算;
σht——在温度单独作用下的筒壁混凝土压应力,按公式(6.4.8-2)计算。
图6.4.6 背风侧水平截面在荷载和温度共同作用下的应力计算简图
1—初始面;2—自由变形面;3—温度单独作用的平衡面;4—最终平衡面
第6.4.7条 钢筋混凝土筒壁的水平截面,在荷载和温度共同作用下,迎风侧的纵向钢筋拉应力可按下列公式计算:
一、当e>rh时
1. P≥1
σg=σgw (6.4.7-1)
2. Pl<1(图6.4.7)
σg=σgw+σgtηl (6.4.7-2)
筒壁相对受压区高度系数ξw,可按下式计算
式中ωl——截面特征系数,按公式(6.4.8-10)计算;
ξ——在温度单独作用下的筒壁截面相对受压区高度系数,按公式(6.4.8-8)计算;
σgt——在温度单独作用下的筒壁纵向钢筋拉应力,按公式(6.4.8-7)计算。
二、当e≤rh时
1.Pa≥

时,截面为全截面受压,纵向钢筋可按构造设置;2. Pa<

时,计算截面纵向钢筋拉应力可按下列公式计算(图6.4.6.b)
σg=σgtηl (6.4.7-5)
式中Pa——压应变参数,按公式(6.4.5-2)计算;
ξw——筒壁相对受压区高度系数,按公式(6.4.6-5)计算;
ωα——截面特征系数,按公式(6.4.8-5)计算;
ξ——在温度单独作用下的筒壁截面相对受压区高度系数,按公式(6.4.8-4)计算;
σgt——在温度单独作用下的筒壁纵向钢筋拉应力,按公式(6.4.8-3)计算。
注:当e≤rh时,如果同一部位的纵向钢筋配筋率,不小于环向钢筋配筋率,则迎风侧的纵向钢筋拉应力可不予计算。
图6.4.7 迎风侧水平截面在荷载和温度共同作用下的应力计算简图
1—初始面;2—自由变形面;3—温度单独作用的平衡面;4—最终平衡面
第6.4.8条 钢筋混凝土筒壁的水平截面,在温度单独作用下混凝土和钢筋的应力可按下列公式计算(图6.4.8):
一、筒壁内表面混凝土与钢筋的相对自由变形值εt可按下式计算
_
εt=1.25(αhzth-αgtg) (6.4.8-1)
二、当不考虑裂缝间受拉钢筋和混凝土应变不均匀时的截面应力,可按下列公式计算
σht=0.5Ehtεtξ (6.4.8-2)
σgt=Egεt(1-ξ) (6.4.8-3)

三、当考虑裂缝间受拉钢筋和混凝土应变不均匀时的截面应力,可按下列公式计算
σht=0.55Ehtεtξ (6.4.8-6)

μo=μδ/δo (6.4.8-11)
式中δo——筒壁有效厚度;
μ、μo——分别为按筒壁厚度和筒壁有效厚度计算的钢筋配筋率;
ωl——考虑裂缝间混凝土和钢筋应变不均匀影响的截面特征系数;
ωa——不考虑裂缝间混凝土和钢筋应变不均匀影响的截面特征系数;
ξ——筒壁截面相对受压区高度系数;
ψgt——在温度作用下裂缝间受拉钢筋应变不均匀系数;
当ψgt<0.4时,取ψgt=0.4;
图6.4.8 筒壁截面在温度作用下的应力计算简图
1—初始面;2—自由变形面;3—温度单独作用的平衡面
当ψgt>1.0时,取ψgt=1.0;
Rft——混凝土在温度作用下的抗裂设计强度。
注:按公式(6.4.8-6)、(6.4.8-7)计算截面应力时,ψgt值须经多次循环迭代求得,使前后二次的差值不超过5%为止,ψgt初始值可取
0.6。
(Ⅲ)温度作用时的垂直截面应力
第6.4.9条 钢筋混凝土筒壁的垂直截面,在温度作用下的混凝土压应力及环向钢筋拉应力,可按公式(6.4.8-1)和(6.4.8-6)~(6.4.8.-11)计算。
第七章 地基基础计算
第一节 一般规定
第7.1.1条 烟囱地基基础的计算,除本规范的规定外,尚应符合《工业与民用建筑地基基础设计规范》(TJ7—74)的规定,在地震区还应符合《工业与民用建筑抗震设计规范》(TJ11—78)的规定。
第7.1.2条 当壳体基础形式为M形(设有薄环)、正倒锥和截锥组合壳时,可按本规范设计。
第7.1.3条 对板式基础和壳体基础,本规范仅规定其内力计算公式。基础的截面强度计算公式,应按《钢筋混凝土结构设计规范》(TJ10—74)的有关规定采用;材料的设计强度和安全系数,应分别符合本规范第二章和第三章的有关规定。
第7.1.4条 地基基础的荷载计算,应按筒身自重、基础自重、基础上的土重、风荷载和附加弯矩(当为钢筋混凝土筒壁时)等的最不利组合采用,对地震区尚应符合《工业与民用建筑抗震设计规范》(YJ11—78)的有关荷载组合规定。
第7.1.5条 考虑温度应力作用的影响,板式基础的底板和壳体基础,配筋宜增加10~15%。
第二节 地基计算
第7.2.1条 基础底面压力,可按下列公式计算:
一、轴心荷载作用时

二、偏心荷载作用时
pmin值应符合下列条件:
1.当为壳体基础时

2.当为板式基础时
pmin≥0 (7.2.1-5)
式中p——基础底面的平均压力;
N——作用于基础顶面的垂直荷载;
G——基础自重和基础上的土重;
F——基础底面面积;
R——修正后地基土容许承载力,应按《工业与民用建筑地基基础设计规范》(TJ7—74)采用;
pmax、pmin——分别为基础底面边缘的最大和最小压力;
Mz——作用于基础底面的总弯矩;
w——基础底面的抵抗矩。
第7.2.2条 基础最终沉降量和基础倾斜值,应按《工业与民用建筑地基基础设计规范》(TJ7—74)的规定计算。平均附加压力系数,可按本规范附录六中附表6.1~6.3采用。
第三节 刚性基础计算
第7.3.1条 刚性基础的外形尺寸,应按下列条件确定(图7.3.1):
一、环形基础
b1≤0.8Htga (7.3.1-1)
b2≤Htga (7.3.1-2)
二、圆形基础
b1≤0.8Htga (7.3.1-3)

式中b1、b2——基础台阶悬挑尺寸;
H——基础高度;
tgα——基础台阶高宽比,应按《工业与民用建筑地基基础设计规范》(TJ7—74)采用;
D——基础顶面的筒壁内直径。

图7.3.1 刚性基础外形尺寸简图
a—环形基础;b—圆形基础
第四节 板式基础计算
第7.4.1条 板式基础外形尺寸的确定,宜符合下列规定(图7.4.1):
一、环形基础
二、圆形基础

式中β——基础底板平面外形系数,根据r1与rz的比值,由图7.4.11-2查得;
rz——环壁底截面中心处半径,
r1、r2、r3、r4——分别为基础不同位置的半径;
h、h1、h2——分别为基础底板不同位置的厚度。
第7.4.2条 计算基础底板的内力时,基础底面的压力可按均布荷载采用,并取外悬挑部分中点处的最大压力,其值应按下式计算(图7.4.1):
(a)

(b)
图7.4.1 基础尺寸与底面压力的计算简图
a—环形基础;b—圆形基础
式中N——作用于基础顶面的垂直荷载(不包括基础自重和基础上的土重);
Mz——作用于基础底面的总弯矩,Mz=M+TH
M、T——分别为作用于基础顶面的弯矩与切力;
H——基础总高度;
F——基础底面面积;
J——基础底面惯性矩。
第7.4.3条 在环壁与底板交接处的冲切强度可按下式计算(图7.4.4):
式中K——冲切强度设计安全系数;
Qc——冲切破坏锥体以外的荷载,按第7.4.4条的规定计算;
Rlt——混凝土在温度作用下的抗拉设计强度;
Ss——冲切破坏锥体斜截面的上边圆周长;
验算环壁外边缘时,Ss=2πr2;
验算环壁内边缘时,Ss=2π(r3-ho);
Sx——冲切破坏锥体斜截面的下边圆周长;验算环壁外边缘时, 验算环壁内边缘时,Ss=2πr3;
第7.4.4条 冲切破坏锥体以外的荷载Qc,可按下列公式计算(图7.4.4):
一、计算环壁外边缘时
二、计算环壁内边缘时
1.环形基础
2.圆形基础
第7.4.5条 环形基础底板下部和底板内悬挑上部均采用径环向配筋时,确定底板钢筋用的弯矩值可按下列公式计算:
一、底板下部半径r2处单位弧长的径向弯矩

图7.4.4 底板冲切强度计算简图
a—环形基础;b—圆形基础
1—验算环壁内边缘冲切强度时破坏锥体的斜截面;2—验算环壁外边缘冲切强度时破坏锥体的斜截面;3—冲切破坏锥体的底面线
二、底板下部单位宽度的环向弯矩
三、底板内悬挑上部单位宽度的环向弯矩
第7.4.6条 圆形基础底板下部采用径环向配筋、环壁以内底板上部为等面积方格网配筋时,确定底板钢筋用的弯矩值可按下列规定计算:
一、当

≤1.8时,底板下部的径向弯矩和环向弯矩可分别按公式(7.4.5-1)和(7.4.5-2)计算。
二、当

>1.8时,底板下部的径向和环向弯矩可分别按下列公式计算:
三、环壁以内底板上部在两个正交方向单位宽度的弯矩均为
注:当 >1.8时,基础外形不合理,一般不宜采用。
第7.4.7条 圆形基础底板下部和环壁以内底板上部均采用等面积方格网配筋时,确定底板钢筋用的弯矩值可按下列公式计算:
一、底板下部在两个正交方向单位宽度的弯矩均为
二、环壁以内底板上部在两个正交方向单位宽度的弯矩均为
第7.4.8条 当按公式(7.4.5-3)、(7.4.6-3)或(7.4.7-2)计算所得的弯矩MT(或M)≤0时,环壁以内底板上部一般不配置钢筋。但属于下列情况之一时,应按第8.3.8条配置构造钢筋:
一、扣除基础自重及其上土重的基础底面压力出现负值

时;
二、当设有地下烟道、烟气温度较高时。
第7.4.9条 环形和圆形基础底板外悬挑上部一般不配置钢筋,但当扣除基础自重及其上的土重后,基础底面压力出现负值时,底板外悬挑上部需配置钢筋,其弯矩值可近似地按承受均布荷载q的悬臂构件进行计算。

第7.4.10条 底板下部的配筋,应取半径为r2处的底板有效高度ho,按等厚板进行计算。
当采用径环向配筋时,其径向钢筋可按r2处满足计算要求呈辐射状配置;环向钢筋可按等直径等间距配置。
第7.4.11条 圆形基础底板下部不需配筋范围的半径rd,应按下列公式计算(图7.4.11-1):
一、径环向配筋时
rd≤βorz-35d (7.4.11-1)
二、等面积方格网配筋时
rd≤r3+r2-r1-35d (7.4.11-2)
式中βo——底板下部钢筋理论切断系数,按 由图7.4.11-2中查得;
d——受力钢筋直径。
注:当按公式(7.4.11-1)、(7.4.11-2)计算所得的rd小于或等于零时,底板下部各处均应配筋。
图7.4.11-1 不需配筋范围的半径rd简图
图7.4.11-2 β与βo系数
第五节 壳体基础计算
第7.5.1条 计算钢筋混凝土M形、正倒锥和截锥组合壳体基础(图7.5.1)时,可在节点处将基础分为壳体、环梁、薄环及环板等单体构件(附图7.1),按附录七的节点变形协调方程求出边缘力后,分别进行各单体构件的计算。
第7.5.2条 单体壳体的内力可按下列公式计算(图7.5.2):

(a) (b) (c)
图7.5.1 组合壳体基础形式简图
a—M形组合壳;b—正倒锥组合壳;c—截锥组合壳
1—烟囱筒壁;2—环梁;3—壳体;4—薄环;5—环板
式中

——分别为第i(i为单体构件编号)壳体单位长度上的径向力和环向力(均以受拉为正);

——分别为第i壳体单位长度上的径向弯矩(以内表面受拉为正)和切力(以小径边缘处切力方向向外,大径边缘处切力方向向内为正);

——分别为第i壳体单位长度上的薄膜径向力和薄膜环向力(均以受拉为正),按第7.5.8条计算;

——分别为第i壳体的小径边缘和大径边缘处单位长度上的径向弯矩(以内表面受拉为正),按附录七计算;

——分别为第i壳体的小径边缘和大径边缘处单位长度上的水平推力(以小径边缘处推力方向向外,大径边缘处推力方向向内为正),按附录七计算;
mja、mjb(j=1,2……6)——分别为壳体小径边缘和大径边缘处的有关计算参数,按附录八采用;
Φ——壳体的中曲面法线与其旋转轴的交角。

(a) (b)
图7.5.2 单体壳体的内力及几何量简图
q—壳体内力;b—壳体几何量及边缘力
第7.5.3条 环梁的内力可按下列公式计算(图7.5.3):
一、M形组合壳时
Mθ=MΦre (7.5.3-3)
二、正倒锥和截锥组合壳时
Mθ=MΦre (7.5.3-6)
式中NθM——环梁的环向力(以受拉为正);
MΦ——环梁单位长度上的扭矩(当截面在环心左侧时以逆时针方向为正);
Mθ——环梁的环向弯矩(以下表面受拉为正);
——分别为第i(i=1,2……4)壳体小径边缘和大径边缘处单位长度上的薄膜径向力(以受拉为正);
re——环梁截面重心处的半径;
e1、e2、e3——分别为壳体①、壳体③、壳体④(①、③、④为壳体的编号)的薄膜径向力至环梁截面重心的距离(以图示为正);
na、nb——分别为壳体的边缘水平推力至环梁截面重心的距离。

(a) (b)
图7.5.3环梁计算简图
a—M形组合壳的环梁;b—正倒锥和截锥组合壳的环梁
第7.5.4条 薄环的内力,可按下列公式计算(图7.5.4):
Mθ=MΦre(7.5.4-3)
式中NθM——薄环的环向力(以受拉为正);
MΦ——薄环单位弧长上的径向弯矩(当薄环截面在环的中心左侧时以逆时针方向为正);
Mθ——薄环的环向弯矩(以下表面受拉为正);
re——薄环截面重心处的半径;
e5——壳体④的薄膜径向力至薄环截面重心的距离(以图示为正);
e——薄环底面单位弧长上压力的合力作用点至薄环截面重心的距离(以图示为正);
V——薄环底面单位弧长上的压力合力(以方向向上为正)。

图7.5.4 薄环计算简图
第7.5.5条 薄环底面压力的合力V及其至薄环底面中心的距离eo,可按下列公式计算(图7.5.4):
式中b——薄环底面宽度;
ro——薄环底面中心处的半径;
pN——在轴心荷载作用下薄环底面的平均压力;
pM、pM2——在弯矩作用下薄环底面的外边缘和内边缘的压力。
第7.5.6条 截锥组合壳体基础下部的环板内力,可按弹性环板计算。
第7.5.7条 组合壳体基础在轴心荷载和弯矩作用下的底面压力,应按下列公式计算(图7.5.9):
式中pN——在轴心荷载作用下壳体基础底面的平均压力;
pM——在弯矩作用下壳体基础的最大压力;
N——作用于基础顶面的垂直荷载(不包括基础自重和基础上的土重);
M、T——分别为作用基础顶面的弯矩和切力;
H——基础计算总高度,当为M形组合壳和截锥组合壳时,由基础顶面算至薄环或环板的底部,当为正倒锥组合壳时,由基础顶面算至正锥壳中曲面与倒锥壳底面的相交处;
F——组合壳体基础底面水平投影的总面积;
W——组合壳体基础底面水平投影的抵抗矩。
第7.5.8条 壳体的薄膜径向力NΦ和薄膜环向力Nθ,可按下列公式计算:
一、M形组合壳体基础中的各单体壳体
1.倒锥壳下部作用面荷载时(图7.5.8a)

2.正截锥壳下部作用面荷载时(图7.8b)
3.正截锥壳上边缘作用轴向荷载、弯矩和水平切力时(由薄环底面压力作用)(图7.5.8c)
Nθ=0 (7.5.8-6)
二、正倒锥组合壳体基础中的各单体壳体
1.正截锥壳上边缘作用轴向荷载、弯矩和水平切力时(图7.5.8d)
Nθ=0 (7.5.8-8)
2.倒截锥壳下部(情况1)作用面荷载时(图7.5.8e)
3.倒截锥壳下部(情况2)作用面荷载时(图7.5.8f)
三、截锥组合壳体中的正截锥壳的薄膜力,可按公式(7.5.8-7)和(7.5.8-8)进行计算。
式中NΦ、Nθ——分别为壳体单位长度上的薄膜径向力和薄膜环向力(均以受拉为正);
pN——在轴心荷载作用下壳体基础底面的压力,按第7.5.7条计算;
pM1、pM2、pM3、pM4——分别为壳体的大径边缘在弯矩作用下的底面压力,按第7.5.7条计算出PM后,根据所在部位换算求出;
ra、rb——分别为壳体的小径边缘和大径边缘的中曲面水平半径;

图7.5.8 单体壳体的荷载简图
a—倒锥壳下部作用面荷载;b—正截锥壳下部作用面荷载;c—正截锥壳上边缘作用轴向荷载、弯矩和水平切力;
d—正截锥壳上边缘作用轴向荷载、弯矩和水平切力;e—倒截锥壳下部(情况1)作用面荷载;f—倒截锥壳下部(情况2)作用面荷载
r——壳体的任一点中曲面水平半径;
N1、M1、T1——分别为正截锥壳上边缘作用的轴向荷载、弯矩和水平切力,按下列公式计算
ro——薄环底面中心处的半径;
b——薄环底面宽度。
第7.5.9条 组合壳体基础底部构件的冲切强度,可按下列规定计算:
一、M形组合壳体基础(图7.5.9a)中的薄环和截锥组合壳体基础中的环板,可按第7.4.2条至第7.4.4条的有关规定计算;
二、正倒锥组合壳体基础(图7.5.9b)中的倒锥壳,亦可按第7.4.2条至第7.4.4条的有关规定计算,此时,冲切破坏锥体斜截面的下边的圆周长Sx和冲切破坏锥体以外的荷载Qc,应按下列公式计算:
1.验算外边缘时
2.验算内边缘时
图7.5.9 壳体基础底面压力以及薄环和正倒锥组合壳体底部的冲切强度计算简图
a—M形组合壳;b—正倒锥组合壳
注:为了与第7.4.2条至第7.4.4条中的公式符号相一致,图7.6.9中的符号采用与图7.4.4相对应的符号。
第7.5.10条 壳体基础上部环梁的截面强度,应按偏心受压和受扭构件计算。
正截锥壳、倒截锥壳和倒锥壳的径向截面强度,应按偏心受压或偏心受拉构件进行计算;环向截面强度,应按轴心受压或轴心受拉构件进行计算。
壳体基础下部的薄环截面强度,应按偏心受拉和受扭构件进行计算。
第八章 构造
第一节 砖烟囱筒壁
第8.1.1条 砖烟囱筒壁宜设计成截顶圆锥形,筒壁坡度、厚度和分节高度应符合下列规定:
一、筒壁坡度宜采用2~3%;
二、当筒身顶口内径小于或等于3米时,筒壁最小厚度应为240毫米;
当筒身顶口内径大于3米时,筒壁最小厚度应为370毫米;
当设有平台时,平台处的筒壁最小厚度应为370毫米;
三、筒壁厚度可随分节高度自下而上减薄,但同一节厚度应相同,每节高度不宜超过15米;
四、筒壁顶部应向外侧加厚,加厚厚度以180毫米为宜,并应以阶梯形向外挑出,每阶挑出不宜超过60毫米,加厚部分的上部应以1:3水泥砂浆抹成排水坡(图8.1.1)。

图8.1.1 砖筒壁顶部构造简图
第8.1.2条 内衬到顶的烟囱,其顶部宜设钢筋混凝土压顶板。
第8.1.3条 支承内衬的环形悬臂,应在筒壁分节处以阶梯形向内挑出,每阶挑出不宜超过60毫米,挑出总高度应由计算确定,但第一阶的挑出高度不应小于240毫米。
第8.1.4条 筒壁上孔洞的设置应符合下列要求:
一、在同一水平截面内设有两个孔洞时,宜对称布置;
二、孔洞宽度不大于1.2米时,孔顶宜采用半圆拱;孔洞宽度大于1.2米时,宜在孔洞顶部设置钢筋混凝土圈梁;
三、配环箍或配环向钢筋的砖烟囱,在孔洞上、下砌体中应配置直径6毫米的环向构造钢筋,其截面面积应不小于被切断的环箍或环向钢筋截面面积;
四、当孔洞较大时,宜用砖垛加强。
第8.1.5条 按计算配置的环箍,间距宜为0.5~1.5米;按构造配置的环箍,间距不宜大于1.5米。
环箍的宽度不宜小于60毫米,厚度不宜小6毫米,每圈环箍的扣环不应少于2个,每段环箍的长度不宜超过5米。环箍扣环上的连接螺栓宜采用3号钢,其净截面面积不应小于环箍截面面积。环箍接头的位置应沿筒壁高度相互错开(图8.1.5)。
图8.1.5 环箍扣环构造简图
1—环箍;2—套环;3—螺栓
第8.1.6条 环箍安装时应施加预应力,预应力值可按表8.1.6采用。
环箍预应力值(公斤/c㎡) 表8.1.6
|
施工温度 |
t>10℃ |
10℃≥t≥0℃ |
t<0℃ |
|
预应力值 |
300 |
500 |
600 |
第8.1.7条 按计算配置的环向钢筋,直径宜为6~8毫米,间距不应小于三皮砖,且不大于八皮砖;按构造配置的环向钢筋,直径宜为6毫米,间距不应大于八皮砖。同一平面内环向钢筋不宜多于两根,两根钢筋的间距为30毫米。
钢筋搭接长度应为40d(d为钢筋直径),接头位置应相互错开。
钢筋的保护层为30毫米(图8.1.7)。
图8.1.7 环向钢筋配置简图
a—单根环筋;b—两根环筋
第8.1.8条 在环形悬臂和筒壁顶部加厚区段范围内,环向钢筋应适当增加。
第8.1.9条 砖烟囱筒壁中的纵向钢筋直径不应小于8毫米,长度不宜小于4米,间距不应大于500毫米。钢筋搭接长度ld应为40d(图8.1.9),钢筋接头必须绑扎牢固,接头位置应相互错开,在任一搭接长度ld¤范围内的接头数不应超过钢筋根数的1/4。
图8.1.9 纵向钢筋配置简图
顶部纵向钢筋应锚固于筒顶钢筋混凝土压顶板内,锚固长度应为30d。
第二节 钢筋混凝土烟囱筒壁
第8.2.1条 钢筋混凝土烟囱筒壁坡度、厚度和分节高度应符合下列规定:
一、筒壁坡度宜采用2%,对高烟囱亦可采用几种不同的坡度;
二、筒壁最小厚度应符合表8.2.1的规定;
三、筒壁厚度可随分节高度自下而上呈阶梯形减薄,但同一节厚度应相同;
筒壁分节高度,应为移动模板高度的倍数,且不宜超过15米。
第8.2.2条 筒壁的环形悬臂和筒壁顶部加厚区段的构造,应符合下列规定(图8.2.2):
筒壁最小厚度 表8.2.1
|
筒身顶口内径D(米) |
最小厚度(毫米) |
|
D≤4 4<D≤6 6<D≤8 D>8 |
140 160 180 180+(D-8)×10 |
注:采用滑动模板施工时,筒壁厚度不宜小于160毫米。
图8.2.2 筒壁顶部和环形悬臂构造简图
a—不配置钢筋的环形悬臂;b—筒壁顶部配筋;c—配置钢筋的环形悬臂;d—环形悬臂楔形缝
一、环形悬臂一般可不配置钢筋,受力较大和挑出较多的悬臂,应按计算配置钢筋;
二、在环形悬臂中,应沿悬臂全高设置垂直楔形缝,缝的宽度为20~25毫米,缝的间距宜为一米左右;
三、在环形悬臂处和筒壁顶部加厚区段内,环向钢筋应适当增加,一般宜增加一倍。
第8.2.3条 筒壁上设有孔洞时,应符合下列规定:
一、在同一水平截面内有两个孔洞时,宜对称布置;
二、孔洞对应的圆心角不应超过70度,在同一水平截面内总开孔的圆心角不得超过140度;
三、孔洞宜设计成圆形,矩形孔洞的转角宜设计成弧形(图8.2.3);
图8.2.3 筒壁补强钢筋构造简图
a—矩形孔洞;b—圆形孔洞
四、孔洞周围应配补强钢筋,并尽量布置在孔洞边缘和筒壁外侧,其截面面积一般宜为同方向被切断钢筋截面面积的1.3倍;
矩形孔洞转角处应配置与水平方向成45度角的斜向钢筋,每个转角处的钢筋按筒壁厚度每10厘米不应少于2.5厘米2配置,且不应少于两根;所有补强钢筋伸过孔洞边缘的长度不应小于40d(图8.2.3)。
第8.2.4条 筒壁环向钢筋的混凝土保护层不应小于30毫米。
第8.2.5条 筒壁钢筋最小配筋百分率应符合表8.2.5的规定。
筒壁最小配筋百分率 表8.2.5
|
筒壁钢筋 |
混凝土标号 |
|
200 |
250~400 |
|
环向钢筋 纵向钢筋 |
0.15 0.30 |
0.20 0.40 |
第8.2.6条 筒壁一般宜靠外侧配置钢筋,环向钢筋应配在纵向钢筋的外侧。
属于下列情况之一的筒壁,尚应在内侧配置构造钢筋:
一、筒壁厚度大于450毫米;
二、筒壁长期处于外侧温度大于内侧温度的部位。
第8.2.7条 钢筋最小直径和最大间距应符合表8.2.7的规定;内外侧钢筋应用拉筋拉结,拉筋直径不应小于6毫米,纵横间距为500毫米。
筒壁钢筋最小直径和最大间距(毫米) 表8.2.7
|
配筋种类 |
钢筋最小直径 |
钢筋最大间距 |
|
纵向钢筋 |
10 |
外侧300 内侧500 |
|
环向钢筋 |
8 |
250,且不大于壁厚 |
第8.2.8条 纵向钢筋长度应取移动模板高度的倍数,并另加搭接长度。钢筋搭接长度ld为40d,接头位置应相互错开,在任一搭接长度ld范围内的接头数不应超过全部钢筋根数的1/4。
第8.2.9条 筒身应设测温孔、沉降观测点和倾斜观测点。
第三节 基础
第8.3.1条 烟囱与烟道连接处沉降缝的设置应符合下列规定:
一、地上烟道时,沉降缝应设在筒壁或基础环壁的外边缘处;
二、地下烟道时,沉降缝应设在基础底板的边缘处。
注:当条件允许时,宜设地上烟道。
第8.3.2条 基础的底部应设混凝土垫层,厚度宜采用100毫米。M形组合壳体基础下的土胎应避免扰动,其表面应抹水泥砂浆垫层,使表面平整,形状准确。
第8.3.3条 设有地下烟道的基础,宜设贮灰槽,槽底面应较烟道底面低250~500毫米。
第8.3.4条 设有地下烟道的烟囱基础,当烟气温度较高时,宜采取通风隔热措施。
第8.3.5条 烟囱周围的地面应设护坡,坡度不应小于2%,护坡的最低处应高出周围地面100毫米,护坡宽度不应小于1.5米。
第8.3.6条 基础环壁宜设计为内表面垂直、外表面倾斜的形式,上部厚度应比筒壁、隔热层和内衬等总厚度增加50~100毫米。环壁顶部突出地面不宜小于400毫米。钢筋混凝土基础的环壁,应靠环壁内外侧配置钢筋。
第8.3.7条 板式基础的钢筋最小直径和最大间距应符合表8.3.7的规定。
第8.3.8条 板式基础底板上部按构造配筋时,其钢筋最小直径和最大间距应符合表8.3.8的规定。
板式基础的钢筋最小直径和最大间距(毫米) 表8.3.7
|
部位 |
配筋种类 |
钢筋最小直径 |
最大间距 |
|
环壁 |
纵向钢筋 环向钢筋 |
12 10 |
300 250 |
|
底板下部 |
径环向配筋 |
径向 |
10 |
半径r2处250底板外边缘400 |
|
环向 |
10 |
300 |
|
方格网配筋 |
10 |
250 |
注:基础环壁中的纵向钢筋应与筒壁底部纵向钢筋相对应
板式基础底板上部的构造配筋(毫米) 表8.3.8
|
基础形式 |
配筋种类 |
钢筋最小直径 |
最大间距 |
|
环形基础 |
径环向配筋 |
10 |
径向400 环向300 |
|
圆形基础 |
等距离方格网配筋 |
10 |
300 |
第8.3.9条 基础环壁设有孔洞时,应符合第8.2.3条的规定;当洞口底部与基础底板顶部的环壁高度较小时,该部分环壁应增加补强钢筋,必要时可按两端嵌固的曲梁进行计算。
第8.3.10条 壳体基础可按图8.3.10和表8.3.10所示外形尺寸进行设计。壳体壁厚不宜小于300毫米。壳体基础与筒身相接处宜设置环梁。
第8.3.11条 壳体上不宜设孔洞,如需设孔洞时,孔洞边缘距壳体上下边距离不宜小于一米。孔洞周围应按第8.2.3条的规定增配补强钢筋。
第8.3.12条 壳体基础应配双层钢筋,其直径不小于12毫米,间距不大于200毫米。受拉钢筋接头应采用焊接,当钢筋直径小于14毫米时,亦可采用搭接,搭接长度不应小于40d,接头位置应相互错开。壳体基础各单体构件中的径向和环向钢筋的最小钢筋百分率均不应小于0.4。
图8.3.10 组合壳体基础构造简图
a—M形组合壳;b—正倒锥组合壳;c一截锥组合壳
壳体基础的外形尺寸 表8.3.10
|
壳体基础形式 |
各部位尺寸 |
|
δ |
δ1 |
b |
c |
|
M形组合壳 正倒锥组合 壳截锥组合 壳 |
(0.04~0.06)r2 (0.035~0.06)r2 (0.04~0.1)r2 |
(0.75~1)δ - - |
(0.2~0.45)r2 (0.35~0.55)r2 (0.55~0.7)r2 |
(0.05~0.1)r2 (0.05~0.065)r2 (0.05~0.12)r2 |
第8.3.12条 壳体基础的钢筋保护层应不小于40毫米。
第8.3.14条 壳体基础混凝土应按水平层次连续一次浇完,不得留施工缝。
第四节 内衬和隔热层
第8.4.1条 烟囱内衬的设置,应符合下列要求:
一、局部设置内衬时
当砖烟囱局部设置内衬时,其最低设置高度应超过烟道孔顶,超出高度不应小于1/2孔高;
二、内衬厚度
内衬厚度应由温度计算确定,但烟道进口处一节的筒壁或基础内衬厚度,不应小于200毫米或一砖,其它各节不应小于100毫米或半砖。两节内衬的搭接长度不应小于360毫米或六皮砖(图8.4.1)。
图8.4.1 内衬搭接简图图8.4.2 防沉带构造简图
第8.4.2条 隔热层应按下列规定设置:
一、空气隔热层
空气隔热层厚度宜采用50毫米,同时在内衬外表面按纵向间距一米、环向间距0.5米的要求挑出一块顶砖,顶砖与筒壁或基础之间应留出10毫米宽的缝。
二、填料隔热层
填料厚度宜采用80~200毫米,同时在内衬外表面按纵向间距1.5~2.5米设置一圈防沉带,防沉带与筒壁或基础之间应留出10毫米宽的温度缝(图8.4.2)。
第8.4.3条 烟囱在同一平面内,有两个烟道口时,宜设置隔烟墙,其高度应超过烟道孔顶,超出高度不小于1/2孔高。隔烟墙厚度应按计算确定。
第五节 烟囱附件
第8.5.1条 筒壁外表面的爬梯应按下列规定设置:
一、爬梯宜在离地面2.5米处开始设置,直至烟囱顶端;
二、爬梯宜设置在常年风向的上风向;
三、爬梯的围栏应按下列规定设置
烟囱高度小于40米时,可不设置;
烟囱高度为40~60米时,在上半段设置;
烟囱高度大于60米时,在30米以上设置;
四、烟囱高度大于40米时,尚应在爬梯上每隔20米设置一活动休息板。
第8.5.2条 检修或安装信号灯用的平台应按下列规定设置:
烟囱高度小于60米时,无特殊要求可不设置;
烟囱高度为60~100米时,可仅在顶部设置;
烟囱高度大于100米时,尚应在中部适当增设。
第8.5.3条 爬梯和平台各构件的长度不宜超过2.5米,构件之间应以螺栓连接。
第8.5.4条 爬梯和平台等金属构件,安装前应涂防腐剂,安装后在接头处应补刷一道,使用期间还需定期涂刷。
第8.5.5条 爬梯、平台与筒壁的连接应牢固可靠。
第六节 其他
第8.6.1条 烟囱应设置清灰孔。
第8.6.2条 烟囱成为飞行障碍时,应按有关规定设置飞行障碍标志。
第8.8.3条 烟囱应有防雷设施。
附录一 钢筋混凝土烟囱考虑地震时的附加弯矩计算
一、在强度计算时,由于地震力、25%的风荷载、日照和基础倾斜的作用,筒身自重对任意截面(包括按第6.2.5条确定的代表截面)所产生的附加弯矩,可按下式计算:
式中 ——筒身代表截面处的变形曲率。
注:对于设计地震烈度为8度及9度的烟囱,公式(附1-1)中折算自重P应根据《工业与民用建筑抗震设计规范》(TJ11—78)的规定,考虑竖向地震荷载的不利影响。
二、由地震力、25%的风荷载和考虑地震力时的附加弯矩所产生的筒身代表截面处的变形曲率,可按下式计算:
式中Md——筒身代表截面处的地震弯矩,应按《工业与民用建筑抗震设计规范》(TJ11-78)计算;
Mw——筒身代表截面处的风弯矩;
Mdf——考虑地震力时筒身代表截面处的附加弯矩;
Eht——筒身代表截面处的筒壁混凝土在温度作用下的弹性模量;
J——筒身代表截面处的筒壁截面惯性矩。
注:1.计算 时,可先假定Md=0.25(Md+0.325Mw),然后进行循环迭代,使前后两次的Mdf值相差不超过5%。
2.考虑地震力时筒身代表截面处的附加弯矩,亦可按下式,不经循环一次求出:

三、筒身代表截面,可按第6.2.5条的规定确定。
四、公式(附1-1)中的P值,可按公式(6.2.2)计算。
附录二 筒身代表截面处的附加弯矩不经循环计算的公式
强度计算和 ≤0.5时的使用阶段应力计算,在筒身代表截面处的附加弯矩,可按下列公式不经循环迭代求出:
一、强度计算
1.当 ≤0.5时

2.当 >0.5时

二、使用阶段应力计算
当 ≤0.5时
注:1.式中符号的解释见第6.2.1条至第6.2.4条中的有关规定。
2.确定 值时,可先假定Mf值(强度计算时取0.35Mw,使用阶段应力计算时取0.2Mw),算出Mf后,应校核计算的 值是否符合所用Mf公式的条件,如不符合,应按计算的 条件,另行计算Mf值。
附录三 环形截面几何特性计算公式
附表3

注:r2内外半径;r为平均半径(r=r2-δ/2);δ为壁厚。
附录四 强度计算图表
附表4.1

附表4.2

注:开孔半角θ值在0°~35°之间时,α值以插入法求得。
附录五 使用阶段应力计算图表
附图5.2

附图5.3
附图5.4
附录六 环形和圆形基础的最终沉降量和倾斜的计算
一、基础最终沉降量的计算
1.环形基础可计算环宽中点C、D(附图6a)的沉降;圆形基础应计算圆心O点(附图6b)的沉降。计算应按《工业与民用建筑地基基础设计规范》(TJ7-74)进行。平均附加压力系数C,可按本附录中的附表6.1采用。
2.计算环形基础沉降量时,其环宽中点的平均压力系数C值,应分别按大圆与小圆由附表6.1中相应的Z/R栏查得的数值相减后采用。
二、基础倾斜的计算
1.分别计算与基础最大压力pmax及最小压力pmin相对应的基础外边缘A、B两点的沉降量SA和SB,基础的倾斜值mθ可按下式计算:
式中r1——圆形基础的半径或环形基础的外圆半径。
2.计算在梯形荷载作用下的基础沉降量S和SB时,可将荷载分为均布荷载和三角形荷载两部分,分别计算共相应的沉降量后再进行叠加。
3.计算环形基础在三角形荷载作用下的倾斜时,可按半径为r1的圆板在三角形荷载作用下,算得的A、B两点沉降值,减去半径为r4的圆板在相应的梯形荷载作用下,算得的A、B两点沉降值。
三、壳体基础的沉降量与倾斜值计算
1.M形组合壳体基础的最终沉降量和倾斜值,可按其水平投影的圆板基础进行计算。
2.正倒锥组合壳体基础,其最终沉降量和倾斜值,可按下壳水平投影的环板基础进行计算。
3.截锥组合壳体基础的最终沉降量和倾斜值,可按环板基础进行计算。
附图6 板式基础底板下压力简图
a-环形基础;b-圆形基础
圆形面积上均布荷载作用下土中任意点竖向平均附加压应力系数C 附表6.1
圆形面积上三角形分布荷载作用下对称轴下土中任意点竖向平均附加压应力系数C 附表6.2
圆形面积上三角形分布荷载作用下对称轴下土中任意点竖向平均附加压应力系数C 附表6.3
|
Z/R |
b/R |
|
-0.000 |
-0.200 |
-0.400 |
-0.600 |
-0.800 |
-1.000 |
-1.200 |
-1, .400 |
-1.600 |
-1.800 |
|
0.00 0.20 0.40 0.60 0.80 1.00 1.20 1.40 1.60 1.80 2.00 2.20 2.40 2.60 2.80 3.00 3.20 3.40 3.60 3.80 4.00 4.20 4.40 4.60 4.80 5.00 |
1.000 0.998 0.986 0.960 0.923 0.878 0.931 0.784 0.739 0.697 0.658 0.623 0.590 0.560 0.532 0.507 0.484 0.463 0.443 0.425 0.409 0.393 0.379 0.365 0.353 0.341 |
1.000 0.997 0.984 0.956 0.917 0.870 0.823 0.776 0.731 0.689 0.650 0.615 0.582 0.553 0.526 0.501 0.478 0.457 0.438 0.420 0.404 0.388 0.374 0.361 0.349 0.337 |
1.000 0.992 0.955 0.902 0.845 0.790 0.740 0.693 0.649 0.613 0.578 0.546 0.518 0.492 0.468 0.447 0.427 0.408 0.392 0.376 0.361 0.348 0.336 0.324 0.313 0.303 |
1.000 0.992 0.955 0.902 0.845 0.790 0.740 0.693 0.649 0.613 0.578 0.546 0.518 0.492 0.468 0.447 0.427 0.408 0.392 0.376 0.361 0.348 0.336 0.324 0.313 0.303 |
1.000 0.964 0.880 0.803 0.739 0.685 0.638 0.597 0.561 0.529 0.500 0.473 0.450 0.428 0.408 0.390 0.373 0.357 0.343 0.330 0.318 0.306 0.295 0.285 0.276 0.267 |
0.500 0.482 0.465 0.447 0.430 0.413 0.396 0.380 0.364 0.350 0.336 0.322 0.309 0.297 0.285 0.274 0.265 0.255 0.246 0.238 0.230 0.223 0.216 0.209 0.203 0.197 |
0.000 0.025 0.079 0.121 0.149 0.167 0.177 0.183 0.186 0.186 0.185 0.183 0.180 0.176 0.173 0.169 0.165 0.160 0.156 0.152 0.149 0.145 0.141 0.137 0.134 0.131 |
0.000 0.004 0.022 0.045 0.066 0.083 0.096 0.105 0.112 0.116 0.119 0.120 0.121 0.121 0.120 0.119 0.117 0.115 0.113 0.112 0.109 0.107 0.105 0.103 0.101 0.099 |
0.000 0.001 0.008 0.019 0.032 0.044 0.054 0.063 0.070 0.076 0.080 0.083 0.085 0.086 0.087 0.087 0.087 0.086 0.085 0.085 0.084 0.082 0.081 0.080 0.079 0.078 |
0.000 0.001 0.003 0.009 0.016 0.024 0.032 0.039 0.045 0.050 0.055 0.058 0.061 0.063 0.064 0.065 0.066 0.066 0.066 0.066 0.065 0.065 0.064 0.064 0.063 0.062 |
|
Z/R |
b/R |
|
-2.000 |
-2.200 |
-2.400 |
-2.600 |
-2.800 |
-3.000 |
-3.200 |
-3.400 |
-3.600 |
-3.800 |
-4.000 |
|
0.00 0.20 0.40 0.60 0.80 1.00 1.20 1.40 1.60 1.80 2.00 2.20 2.40 2.60 2.80 3.00 3.20 3.40 3.60 3.80 4.00 4.20 4.40 4.60 4.80 5.00 |
0.000 0.000 0.002 0.005 0.009 0.015 0.020 0.030 0.035 0.038 0.042 0.044 0.046 0.048 0.049 0.050 0.051 0.052 0.052 0.052 0.052 0.052 0.052 0.052 0.051 0.051 |
0.000 0.000 0.001 0.003 0.005 0.009 0.013 0.019 0.021 0.024 0.028 0.030 0.033 0.035 0.037 0.038 0.039 0.040 0.041 0.041 0.042 0.042 0.042 0.042 0.042 0.042 |
0.000 0.000 0.001 0.002 0.003 0.006 0.008 0.011 0.014 0.017 0.020 0.022 0.024 0.026 0.028 0.030 0.031 0.032 0.033 0.033 0.034 0.034 0.035 0.035 0.035 0.035 |
0.000 0.000 0.000 0.001 0.002 0.004 0.006 0.008 0.010 0.012 0.017 0.020 0.022 0.024 0.026 0.028 0.030 0.031 0.032 0.033 0.034 0.034 0.035 0.035 0.035 0.035 |
0.000 0.000 0.000 0.001 0.002 0.004 0.006 0.008 0.010 0.012 0.015 0.017 0.019 0.020 0.022 0.023 0.024 0.025 0.026 0.027 0.028 0.028 0.029 0.029 0.029 0.029 |
0.000 0.000 0.000 0.000 0.001 0.003 0.004 0.006 0.007 0.009 0.011 0.012 0.014 0.016 0.017 0.018 0.019 0.020 0.021 0.022 0.023 0.023 0.024 0.024 0.024 0.025 |
0.000 0.000 0.000 0.000 0.001 0.002 0.003 0.004 0.005 0.007 0.008 0.010 0.011 0.012 0.013 0.015 0.016 0.017 0.017 0.018 0.019 0.019 0.020 0.020 0.021 0.021 |
0.000 0.000 0.000 0.000 0.001 0.001 0.002 0.003 0.004 0.005 0.006 0.007 0.009 0.010 0.011 0.012 0.013 0.014 0.014 0.015 0.016 0.016 0.017 0.017 0.018 0.018 |
0.000 0.000 0.000 0.000 0.001 0.001 0.001 0.002 0.003 0.004 0.005 0.006 0.007 0.008 0.009 0.009 0.010 0.011 0.012 0.012 0.013 0.014 0.014 0.015 0.015 0.015 |
0.000 0.000 0.000 0.000 0.000 0.001 0.001 0.002 0.002 0.003 0.004 0.005 0.005 0.006 0.007 0.008 0.008 0.009 0.010 0.010 0.011 0.011 0.012 0.012 0.013 0.013 |
0.000 0.000 0.000 0.000 0.000 0.000 0.001 0.001 0.001 0.002 0.002 0.003 0.003 0.004 0.005 0.005 0.006 0.006 0.007 0.007 0.008 0.008 0.009 0.009 0.009 0.010 |
附录七 组合壳体基础边缘力计算公式
组合壳体基础边缘的径向弯矩 和水平推力 ,可按下列公式计算:
1.当为M形组合壳体基础时(附图7.1a)
2.当为正倒锥组合壳体基础时(附图7.1b)

式中

——在作用有边缘力xj的第i构件上,当该构件上作用的所有边缘力sk=1(包括xj=1)时,使作用有xj处、沿xj方向所产生的径向转角(以外法线按角增加的方向为正),可按附表7.1进行计算;

——在作用有边缘力xm的第i构件上,当该构件上作用的所有边缘力xk=1(包括xm=1)时,使作用有xm处、沿xm方向所产生的水平位移(以向外方向为正)可按附表7.1进行计算;

附图7.1 组合壳体基础边缘力简图
a—m形组合壳;b—正倒锥组合壳

——在作用有边缘力xj的第i构件上,当该构件上作用的荷载(单体壳体的薄膜力及薄环上的底面压力),使作用有xj处、沿xj方向所产生的径向转角(以外法线按角增加的方向为正),可按附表7.2进行计算;

——在作用有边缘力xm的第i构件上,当该构件上作用的荷载(单体壳体的薄膜力及薄环上的底面压力),使作用有xm处、沿xm方向所产生的水平位移(以向外方向为正),可按附表7.2进行计算;
x1、x2…——单体构件边缘处的径向弯矩(使构件内侧受拉为正)或水平推力(以小径边缘推力方向向外,大径边缘推力方向向内为正)的代表符号(附图7.1);

——分别为第i(i=1、2、3、4、5)个构件上的小径边缘和大径边缘的径向弯矩(使构件内侧受拉为正)和水平推力(以小径边缘推力方向向外,大径边缘推力方向向内为正)。
单位边缘力作用时边缘处径向转角及水平位移 附表7.1

续附表7.1

续附表7.1

注:1.表中C1~C6函数值,按附表8.1采用。
2.表中A、J分别为环梁或溥环的截面面积和惯性矩。
荷载作用时边缘处径向转角及水平位移 附表7.2

续附表7.2
注:1.表中壳体薄膜力NΦa、NΦb、Nθa、Nθb按第7.5.8条进行计算,薄环底面压力的合力V按第7.5.5条进行计算。
2.表中A、J分别为环梁或薄环的载面面积和惯性矩。
3.表中项次的薄膜内力分别见图7.5.3和图7.5.4其中

的上角标i(i=1、2…4)为构件编号。
附录八 壳体小径边缘和大径边缘处计算参数mja的计算公式
式中Ka、Kb——与壳体的厚度和中曲面径向曲率半径有关的数值,按下式采用
δa、δb——分别为壳体的小径边缘和大径边缘的厚度;
Ra、Rb——分别为壳体的小径边缘和大径边缘的中曲面径向曲率半径;
fja、fjb——计算系数,按下式采用
式中Ci(i=1,2……8)按附表8.1采用,Ci(η)按附表8.2采用。
注:

<

或

<

时,可忽略远端影响,即当

<

时,令mjb为零,当

<

时,令mjb为零(S为壳面径向长度)。

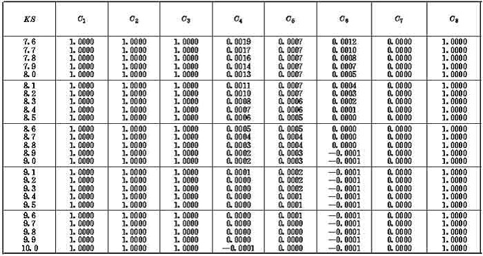
Ci数值表
S为壳面径向长度K=Ka或K=Kb 附表8.1

附表8.1

续附表8.1

续附表8.1

Ci(η)数值表 附表8.2
η=Sb/S(η=0~1);Sb为壳面径向计算点至大径边缘的距离(由下向上);S为壳面径向长度K=Ka或K=Kb
续附表8.2
续附表8.2
续附表8.2

续附表8.2
附录九 本规范用词说明
本规范对条文执行严格程度的用词采用以下写法:
(一)表示很严格,非这样不可的用词:
正面词一般采用“必须”;
反面词一般采用“严禁”。
(二)表示严格,在正常情况下均应这样作的用词:
正面词一般采用“应”;
反面词一般采用“不应”或“不得”。
(三)表示允许稍有选择,在条件许可时首先应这样作的用词:
正面词一般采用“宜”或“一般”;
反面词一般采用“不宜”。
(四)表示允许有选择,在一定条件下可以这样作的,采用“可”。