|
高速电弧喷涂熔滴速度的数值模拟及试验
摘要:熔滴速度是电弧喷涂涂层性能的主要影响因素之一。本文基于空气动力学和二相流流体力学理论建立了高速电弧喷涂雾化气流和熔滴速度的数学模型,并进行了数值模拟;同时用试验方法测试了气流速度及Al、3Cr13熔滴在不同喷涂距离处的平均速度;数值计算结果与试验数据基本吻合。结果表明,雾化气流的速度在距喷嘴一定距离内将保持初始速度(约650m/s),然后随喷涂距离的增大而衰减,这与超音速气流通过Laval喷管后所产生的膨胀波和压缩波相互作用有关;熔滴在雾化飞行过程中经历了先加速后减速的过程,小熔滴能在较短的距离内被加速到最大速度;达到最大速度之后,小熔滴由于惯性力较小而迅速减速,而大熔滴则因较大的惯性力而减速不明显;熔滴速度的变化是由熔滴的Reynolds数决定的。Al和3Cr13熔滴的最大速度在0.3m喷涂距离之内均超过音速。 关键词:高速电弧喷涂; 气流速度; 熔滴速度; 数值模拟; 速度测试
0序言 电弧喷涂技术是以两根金属丝材为电极在喷枪端口部相交短路产生的电弧为热源,使金属丝材熔化,然后用压缩空气将熔化金属雾化成微熔滴,并将微熔滴加速喷射到工件表面,继而沉积、冷却而形成涂层的一种工艺[1]。在过去的几十年中,电弧喷涂技术以其高效、节能、节材等优点而得到广泛的应用,逐渐成为最受重视的热喷涂技术之一。但传统电弧喷涂涂层的组织和性能与等离子喷涂、高速火焰喷涂(HVOF)等相比尚有差距,这在一定程度上限制了电弧喷涂技术的应用范围。高速电弧喷涂技术(HVAS)是20世纪90年代开发出的先进热喷涂技术,因其熔滴飞行速度的大幅度提高(达到350m/s)和雾化效果的进一步改善,从而制备出与等离子喷涂相近的高结合强度、低孔隙率的高质量涂层[2],大大拓宽了电弧喷涂的应用领域。 电弧喷涂涂层的性能受到多种因素的影响,其所具有的快速凝固组织与雾化过程中熔滴的动力学及热传输有密切关系。对雾化过程的动力学和热传输行为进行分析,不仅是选择喷涂工艺参数的重要依据,也有助于正确地理解高速电弧喷涂涂层组织的形成与演变机制。但由于试验技术的限制,难以用实测方法获得熔滴温度、冷却速度等热传输参数,通常采用理论模型进行数值模拟计算,而确定雾化气流速度和熔滴速度是进行模拟计算的前提条件。 本文将在气体动力学和二相流流体力学理论的基础上,建立高速电弧喷涂雾化气流和熔滴速度的数学模型,并进行数值模拟;同时用试验方法测试气流速度及Al、3Cr13熔滴在不同喷涂距离处的平均速度,以验证数学模型。
1数学模型及数值模拟 由于高速电弧喷涂受到许多工艺参数的影响,而且其雾化动力学过程相当复杂,因此建立雾化气流和熔滴速度的数学模型必须做如下的假设以简化问题。 (1) 流体(包括雾化气流和熔滴)的运动为一维定常流动。 (2) 熔滴是在雾化初始瞬间形成的,一经形成就因表面张力的作用而呈球形。 (3) 雾化熔滴的飞行仅为气体拖曳力作用的结果,自身重力的影响忽略不计,不考虑熔滴之间的碰撞和粘附。 1.1 雾化气流速度 高速电弧喷涂熔滴的速度是由雾化气流的速度决定的。从喷枪喷出的超音速气流可以看作单相自由射流[3],且其径向速度很小,故可用轴向速度近似描述雾化气流的速度分布。在理论分析和大量试验结果的基础上,文献[4]给出了轴向气流速度的表达式为:

式中:u为轴向气流速度;u0为喷枪出口处轴向气流初始速度;x为轴向距离;λ为与气流速度衰减有关的常数,且

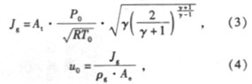
式中: α为一与气体动力学粘度有关的经验常数,取α=10.5;Ae=πR20为喷管出口面积;R0为喷管出口半径。初始速度u0由下式给出[3]

式中: Jg为气体流量;R为气体常数;T0为出口处气体温度;γ为气体比热容;P0为气体压力;ρg为气体密度;At=πR2t为喷管喉部面积;Rt为喷管出口半径。 通过式(1)~式(4)可以求出雾化气体速度沿轴向的分布。
1.2 熔滴的速度 在两丝交会处形成的熔滴与高速雾化气流之间存在着速度差异,因此熔滴在气流拖曳力的作用下被加速。直径为d的球形熔滴在一维定常气流下的运动可由牛顿第二定律的形式给出[5] 化简得
式中: v为直径为d的熔滴速度;ρg为气体密度;ρd为熔滴密度;CD为拖曳系数。式(6)即为合金熔滴的运动方程。该方程忽略了时变与附加质量的影响,即熔滴运动仅由气流的拖曳力所决定。拖曳系数CD主要与Reynolds数有关,是表征气体对熔滴作用程度的无量纲系数,在0.1
式中: Re为熔滴的Reynolds数;μg为气体的动力学粘度。经微分变换,有

由式(5)~式(9)可求出熔滴的轴向速度随喷涂距离的变化关系。 1.3 数值模拟 利用数学计算软件Matlab5.3对雾化气流轴向速度和不同直径的Al及3Cr13熔滴速度进行了数值模拟计算。计算所用参数如表1所示。

2 试验过程 2.1 雾化气流速度的测定 采用毕托管总压法测定喷管出口雾化气流的速度[7]。在喷管的出口处若气流为超音速,就会在毕托管测试探针的管口处产生正激波。正激波波后气流滞止压力记作P1,当地气压为Pa。根据Pa与P1的比值可确定马赫数,可计算出气流的速度。其测试原理如图1所示。

2.2 熔滴速度的测定 采用双转盘法测定高速电弧喷涂熔滴在不同喷涂距离处的平均飞行速度[2],喷涂材料及工艺参数如表2所示,测试原理见图2。即在第一盘上开设窄缝,当盘不旋转时,由喷枪射出的粒子束可以通过此缝在第二盘上留下标记,随后以高速旋转同轴的双转盘,继续喷涂,在第二盘上留下另一标记。粒子飞行的平均速度计算公式为

式中: L为两盘间距;s为两标记间弧长;R为转盘半径;n为转盘转速,vm为粒子平均速度。
3 结果与分析 3.1 轴向气流速度分布 图3是轴向气流速度分布的数值模拟和测试结果,可见二者基本吻合。表明采用的数学模型较好地描述了高速电弧喷涂过程中轴向气流速度的分布情况。

计算的气流初始速度为653m/s,而且在距喷管出口0.08m内保持该速度,之后开始随距离的增大而衰减。实测气流速度也反映出相同的规律,只是在初始阶段气流速度在600~700m/s范围内波动,然后开始下降。由于新型高速电弧喷枪采用了缩张形Laval喷管,故当0.65MPa的高压空气通过Laval喷管时,形成欠膨胀状态的超音速气流,气流出管后继续膨胀加速,直到射流边界(自由边界)。膨胀波在自由边界上反射为压缩波,二者相交形成马赫锥[7],从而造成在距喷管出口一定距离内超音速气流轴向速度出现波动。随喷射距离的增大,与环境大气的相互作用也增大,产生的压缩波越来越强,气流轴向速度进入衰减阶段。可见,使用高速电弧喷枪,扩大了气流超音速区域范围,这不仅会提高熔滴的飞行速度,而且也将改善熔滴的雾化效果。 3.2熔滴速度分布 图4是熔滴速度分布的数值模拟结果,计算时选用3Cr13,熔滴直径为5~100μm。可以看出,熔滴被雾化气流加速到一最大速度后开始减速,在熔滴的最大速度处气流速度等于熔滴速度,此时熔滴的Reynolds数为零。即熔滴经历了一个加速减速的过程。

由式(8)可知,熔滴的直径越小,其Reynolds数也就越小。而从式(7)可知,Reynolds数越小,则拖曳系数CD越大。因此,与大熔滴相比,小熔滴能在较短的时间和距离内被加速到最大速度。达到最大速度之后,由于气流速度小于熔滴速度,熔滴失去加速力而开始减速;而且直径小于20μm熔滴的Reynolds数变得很低,惯性力很小,这时气流的阻碍作用就表现明显。所以,小熔滴速度迅速下降,在曲线上表现出一最大速度峰值。而大于30μm的熔滴在达到最大速度之后,其拖曳系数近似为0.7,因此大熔滴仍有较大的惯性力而没有明显的减速。从曲线上看,除了雾化的初始阶段之外,大熔滴的速度随喷涂距离的变化不大。 3.3 Al和3Cr13熔滴平均速度分布 由于用双转盘法测定的是在距喷枪一定距离处所有直径熔滴的平均速度,故在数值模拟时,计算出平均直径熔滴的速度,并与实测值进行比较。喷入水中的凝固粒子经分离、清洗和烘干后,在Q500MC图像分析仪上统计粒度分布,并计算出Al和3Cr13粒子的平均直径分别为20.4μm和48.9μm。 图5是Al和3Cr13熔滴平均速度的数值模拟和实测的结果,可以认为数值模拟基本上反映了熔滴的运动规律。结果表明,在超音速的雾化气流的带动下,高速电弧喷涂雾化熔滴能够达到很高的飞行速度。在喷涂距离0.3m内,Al熔滴的最大速度约为342m/s,3Cr13熔滴的最大速度约为388m/s ,均超过音速(当地音速约为340m/s)。而在传统电弧喷涂下熔滴的最大速度约为250m/s[2]。由于热喷涂涂层与基体及扁平粒子之间主要以机械结合为主,所以熔滴速度的显著提高有利于提高涂层与基体之间界面的结合强度和扁平粒子之间的内聚结合强度。同时,由于熔滴速度的增大,缩短了熔滴的雾化飞行时间,也提高了熔滴撞击基体时的温度,增加了熔滴撞击瞬间的铺展能力,不但能够减少氧化物的含量,而且能够降低孔隙率,从而改善了电弧喷涂涂层的综合性能。
4 结 论 (1) 用建立的高速电弧喷涂雾化气流和熔滴速度分布的数学模型进行了数值模拟,计算结果与试验数据基本吻合。 (2) 雾化气流的速度在距喷管出口一定距离内将保持初始的超音速,然后随喷涂距离的增大而衰减。这与超音速气流通过Laval喷管后所产生的膨胀波和压缩波相互作用有关。 (3) 熔滴在雾化飞行过程中经历了先加速后减速的过程。小熔滴能在较短的距离内被加速到最大速度;达到最大速度之后,小熔滴由于惯性力较小而迅速减速,而大熔滴则因较大的惯性力而减速不明显。熔滴速度的变化是由熔滴的Reynolds数决定的。 (4) Al和3Cr13熔滴的最大速度在0.3m喷涂距离之内均超过音速。
|